群发资讯网
弄了与数学的文章
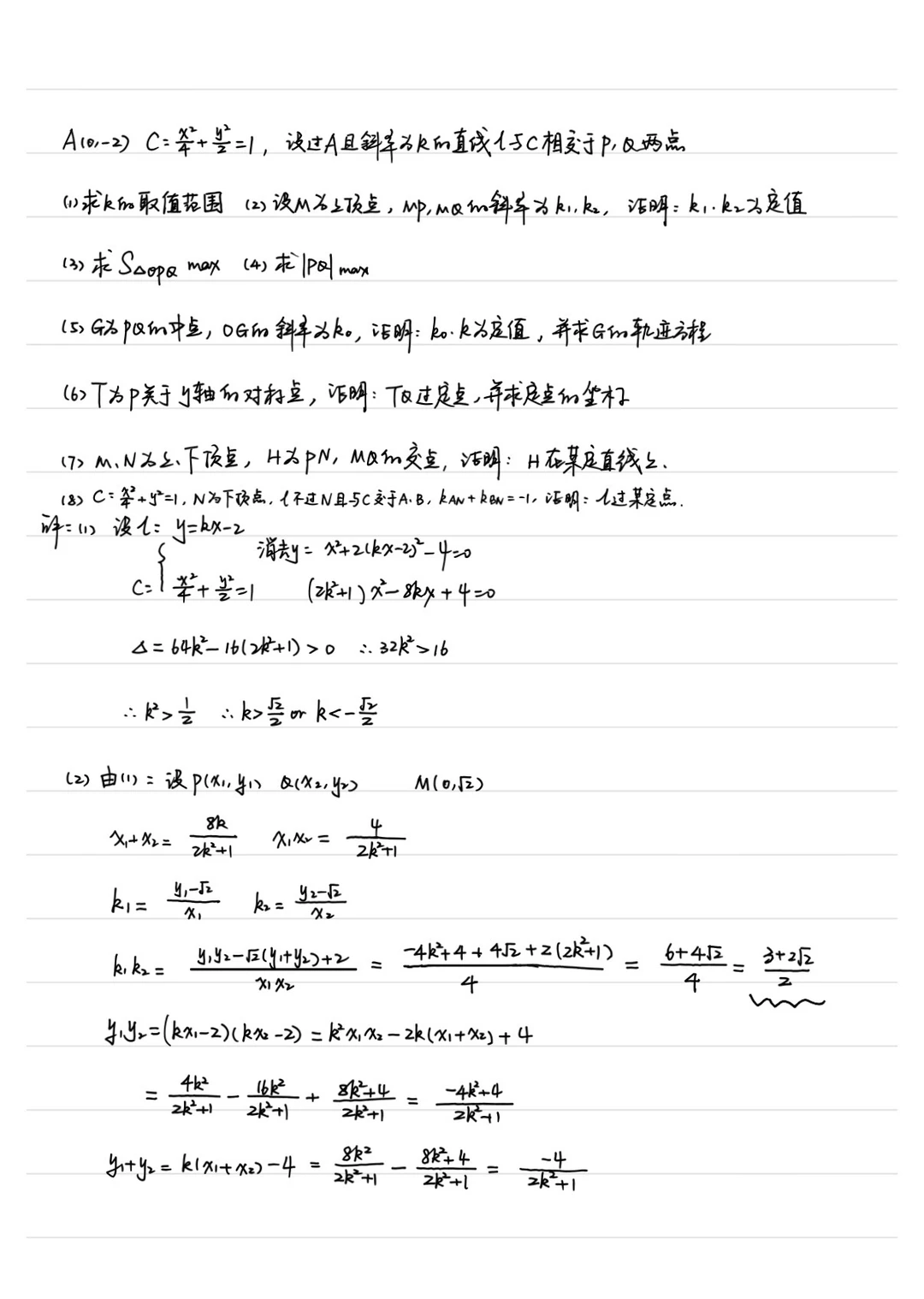
高三一轮复习 专题 椭圆一题8问
2026-01-23 00:03
高三一轮复习 专题 椭圆一题8问
31岁,人生归“1”。祝自己生日快乐🎂
2026-01-16 18:03
31岁,人生归“1”。祝自己生日快乐🎂
高三一轮复习 8.6 双曲线
2026-01-15 18:06
高三一轮复习 8.6 双曲线
快看!大屏幕言承旭阿信在比心🫰青春复活啦
2026-01-11 15:02
快看!大屏幕言承旭阿信在比心🫰青春复活啦
F forever成都!我来啦!!!
2026-01-10 15:04
F forever成都!我来啦!!!
特别认真备得课!高三一轮复习 8.5 椭圆
2026-01-08 15:07
特别认真备得课!高三一轮复习 8.5 椭圆
青龙湖的冬樱🌸开啦,配上暖阳刚刚好!
2026-01-21 01:04
青龙湖的冬樱🌸开啦,配上暖阳刚刚好!
高三一轮复习 专题—求轨迹方程
2026-01-06 15:03
高三一轮复习 专题—求轨迹方程
棱镜10周年,时隔3年,又见到了耳机里的人
2026-01-05 18:03
棱镜10周年,时隔3年,又见到了耳机里的人
高三一轮复习8.12直线方程两条直线位置关系
2026-01-01 18:51
高三一轮复习8.12直线方程两条直线位置关系
成都一诊数学 第18题 一题多解
2025-12-29 02:09
成都一诊数学 第18题 一题多解
成都一诊数学 第11题 一题多解
2025-12-28 01:00
成都一诊数学 第11题 一题多解
教师下班日常:diy圣诞树🎄➕备课一题多解
2025-12-27 01:47
教师下班日常:diy圣诞树🎄➕备课一题多解
沉浸式做题,成都一诊数学get☑️
2025-12-26 00:28
沉浸式做题,成都一诊数学get☑️
成都一诊数学试题新鲜出炉,分享一下~
2025-12-27 00:28
成都一诊数学试题新鲜出炉,分享一下~
一诊备考,我做了这些准备,给大家分享!
2025-12-21 00:26
一诊备考,我做了这些准备,给大家分享!
圣诞氛围1000%🎄成都街头圣诞树合集
2025-12-20 00:10
圣诞氛围1000%🎄成都街头圣诞树合集
专题—向量基底解决立体几何问题
2025-12-22 00:04
专题—向量基底解决立体几何问题
高三一轮复习 立体几何中的夹角与距离
2025-12-21 00:24
高三一轮复习 立体几何中的夹角与距离
🎄SKP藏了片冬日森林!
2025-12-16 00:22
🎄SKP藏了片冬日森林!
第一页
下一页
作者信息
弄了与数学
感谢大家的关注
分类: 教育
热门分类
推荐
热榜
军事
NBA
体育
社会
明星八卦
娱乐
财经
科技
汽车
历史
国际
游戏
动漫
公益
搞笑
商业
互联网
数码
国际足球
房产
家居
时尚
科学探索
职场
育儿
股票
教育
影视
情感
热点
中国军情
武器
中国南海
中国足球
亚洲杯
科比
综合体育
CBA
投资
楼市
大咖秀
外汇
创业
风口
SUV
豪车
概念车
优惠
新能源
美国
欧洲
朝日韩
俄罗斯
孕期
街拍
恋爱攻略
婚姻
正能量