群发资讯网
山东菏泽、东营市2023级高三年级一轮验收考试数学单选题多选题填空题及其答案。
2026-03-12 11:37:21
桐瑞漫说小姐姐
小姐姐
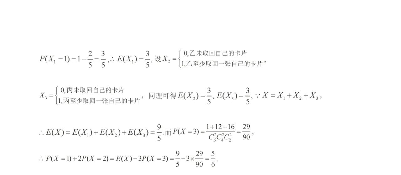
山东菏泽、东营市2023级高三年级一轮验收考试数学单选题多选题填空题及其答案。
猜你喜欢
老师也没想到答题能这么好笑吧
2026-03-11
国舅搞笑
为公考加油公考过来人掏心窝:我靠这一套,从陪跑逆袭上岸,全是实战干货考公真的不是
2026-03-12
弘渝夜谈娱乐
标签:
上岸
公务员行测的难度到底在哪里?公务员行测的难度可不小。从竞争上看,报考人数众多
2026-02-11
荷叶上的闲客
标签:
公务员
学生今天问的一道数学题,做了一下,感觉方法有点复杂了,求简单方法,谢谢。数学教
2026-03-11
小虫数学
标签:
数学
厉害!2本考研某邮,考了410分!朋友的孩子拿到考研分数,总分410分,非常
2026-03-12
麦文君
标签:
考研
北师大版初中数学七年级下册第一章整式的乘除,原生态教案。应该是好多年
2026-02-22
小虫数学
标签:
北京师范大学
初中数学
中小学
重庆市綦江区公安局因工作需要、面向社会公开招聘29名工作人员。一、报名方式请
2026-03-12
丫丫裕泉
标签:
招聘
重庆
就业
本周末下周初34所自划线院校将密集发布复试校线,2026年研招复试即将全面开启。
2026-03-11
军哥育人
热门分类
推荐
热榜
军事
NBA
体育
社会
明星八卦
娱乐
财经
科技
汽车
历史
国际
游戏
动漫
公益
搞笑
商业
互联网
数码
国际足球
房产
家居
时尚
科学探索
职场
育儿
股票
教育
影视
情感
热点
中国军情
武器
中国南海
中国足球
亚洲杯
科比
综合体育
CBA
投资
楼市
大咖秀
外汇
创业
风口
SUV
豪车
概念车
优惠
新能源
美国
欧洲
朝日韩
俄罗斯
孕期
街拍
恋爱攻略
婚姻
正能量