

导读
在量子信息处理领域,实现高效且设计灵活的量子态传输是推动量子密钥分发、量子计算机组件间通信等核心功能的关键。近日,德国罗斯托克大学物理研究所联合汉堡大学光学量子技术中心、汉堡超快成像中心等机构,共同展示了基于隐藏对称光子网络的量子态传输技术成果,为突破传统空间对称性限制的量子网络设计提供了新型解决方案。
研究团队创新性地将“隐藏对称性”(蕴含于网络光谱特性的“隐藏”对称性)与集成光子技术结合,通过紧束缚哈密顿量描述九节点网络结构,利用连续时间量子游走理论分析量子态演化规律。他们通过量化两节点移除后的特征值谱一致性定义隐藏对称位点,结合单态节点实现网络无对称性破坏扩展;在实验中,以飞秒激光写入的波导阵列为平台,在814nm波长下实现隐藏对称位点间75%的量子态传输保真度,并通过双光子反对称激发实验验证量子干涉保留特性,最终达成“近乎完美的量子态传输”。
该研究成果以 “State Transfer in Latent-Symmetric Networks”为题发表于eLight(影响因子32.1,入选两期卓越计划),德国罗斯托克大学的 Jonas Himmel 为论文第一者,Alexander Szameit 为论文通讯作者。
量子态传输作为量子信息处理的核心环节,是实现量子密钥分发、量子计算机组件间通信的基础,其效率与网络设计灵活性直接决定量子系统的实用化进程。传统量子网络设计高度依赖实空间对称性,这类对称性虽能保障量子态高效传输,但严格限制了网络拓扑结构的设计空间,仅能在满足显性对称条件的框架内构建系统,无法根据实际应用场景灵活调整网络布局,极大制约了量子网络的规模化与多样化应用。同时,现有量子态传输技术中,“完美态传输”虽追求保真度为1的理想效果,但需满足极为严苛的网络参数条件,在实验实现中易受环境噪声、硬件误差影响,难以稳定复现;而常规“近似传输”方案又无法保证保真度的可控提升,导致高效与稳定的量子态传输难以兼顾。
此外,现有无显性对称的量子网络研究也存在显著短板:部分方案虽尝试突破空间对称限制,但缺乏对网络内在“隐藏规律”的系统性利用,无法保障量子态传输的可靠性。同时,现有网络扩展技术面临“对称性破坏”瓶颈:当对量子网络进行节点添加或结构修改时,易打破原有的传输平衡,导致传输保真度骤降,无法实现网络的模块化扩展。这些问题共同制约了量子网络向“高灵活性、高可靠性、可扩展性”方向发展,亟需全新的理论框架与实验方案突破困境。
研究团队首先明确了“隐藏对称性”的核心定义,图1揭示其与传统对称性的本质区别。图 1中,实空间对称性有直接视觉特征,动量空间对称性体现在能带结构上,而隐藏对称性无需实空间或动量空间的显性特征,只需满足“移除两个节点后网络特征值谱一致”这一条件。基于此,团队设计了九节点隐藏对称光子网络,以飞秒激光写入的波导阵列为载体,构建均匀耦合系统,确定核心传输节点。该设计打破传统量子网络依赖可见空间对称性的限制,解决了传统网络设计空间窄、难适配集成芯片的问题。

图1:隐藏对称网络
接着,团队进一步优化网络结构与传输机制(图2)。图2a 展示了九节点隐藏对称光子网络的具体布局,明确核心传输节点与单态节点的位置;图 2b 表明单态节点可实现无对称性破坏的任意扩展,为大规模量子网络构建提供新路径;图 2c 则呈现 “近乎完美量子态传输” 机制的数值模拟结果,显示随归一化传输距离增加,保真度呈现峰值递增趋势。这一机制借助相关理论并调控网络特征值,让传输保真度在有限时间内可无限接近1,避开传统 “完美态传输” 对网络参数的严苛要求,仅需满足两项与网络特性相关的条件,解决了传统近似传输保真度难控、完美传输实验难复现的问题。

图2:隐藏对称网络中的量子态传输
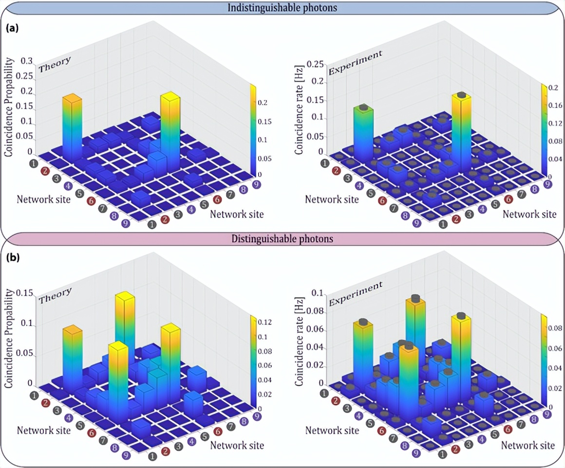
最后,研究人员进行了实验验证与方案优化(见图3和图4)。图 3 展示实验观测方案,通过调节传播距离和波长,精准捕捉保真度峰值,观测到首个峰值保真度 75%,还能通过波长调节控制传输过程;图 4 通过双光子反对称激发实验,观测到单态节点处量子干涉受抑制、核心节点定向传输的现象,验证量子干涉在网络中得以保留。这些实验方案解决了传统光子网络实验中量子态难调控、传输过程难观测的问题,为隐藏对称网络的本质提供直接实验证据。

图3:经典态传输的实验观测

图4:反对称输入态的模拟与测量符合矩阵
总结与展望
该研究聚焦量子态传输的关键需求,创新性提出“隐藏对称性”概念,突破传统量子网络依赖实空间对称性的局限。研究设计并实验实现了特定结构的隐藏对称光子网络,通过飞秒激光写入的波导阵列构建系统,以网络能谱特性定义核心传输位点,同时发现可实现无对称破坏扩展的单态节点;提出基于隐藏对称的“近乎完美量子态传输”机制,规避了传统完美态传输对参数的严苛要求,实验中观测到定向量子态传输现象,还通过双光子实验验证了量子干涉在网络中的保留特性,为量子网络设计提供了新路径。
未来可从三方面深化研究:一是依托单态节点的扩展能力,探索大规模隐藏对称量子网络的模块化构建,优化多节点间的传输协同性;二是进一步提升传输保真度,结合更精准的系统参数调控与噪声抑制技术,缩小实验与理论模拟的差距;三是拓展应用场景,如探索其在量子安全传输领域的潜力,或研究隐藏对称与拓扑态的关联以开发新型量子功能系统,同时推进量子节点同步与量子态存储等相关技术的融合。
论文信息
Himmel, J., Ehrhardt, M., Heinrich, M. et al. State transfer in latent-symmetric networks. eLight 6, 3 (2026).
https://doi.org/10.1186/s43593-025-00114-9