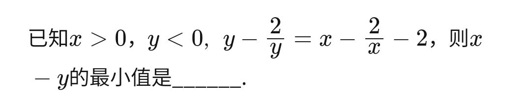
山东省临沂市2025年11月高三教学质量监测数学试题压轴填空题第14题,共有三种方法,第一种方法,要求x–y的最小值,根据已经条件,利用均值不等式构造关于x–y的一元二次不等式,解不等式即可,第二种解法直接运用均值不等式构造不等式,第三种解法,也是构造不等式。





山东省临沂市2025年11月高三教学质量监测数学试题压轴填空题第14题,共有三种方法,第一种方法,要求x–y的最小值,根据已经条件,利用均值不等式构造关于x–y的一元二次不等式,解不等式即可,第二种解法直接运用均值不等式构造不等式,第三种解法,也是构造不等式。




