群发资讯网

山东名校考试联盟高二上期中检测数学试题压轴单选题第8题,考查空间直角坐标系,四点

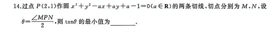
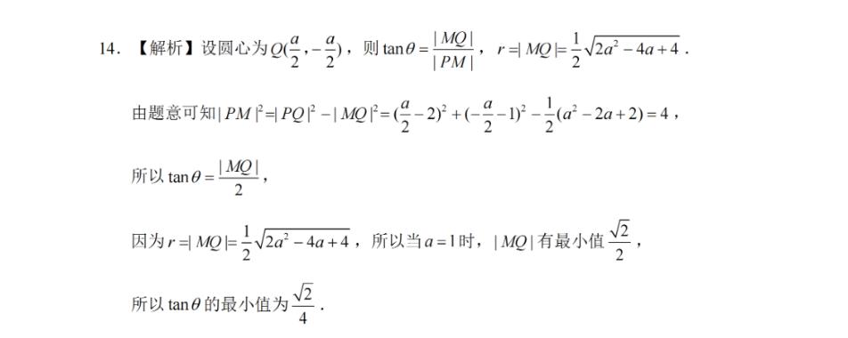
山东名校考试联盟高二上期中检测数学试题压轴单选题第8题,考查空间直角坐标系,四点共面的条件,问题转化为求平面外一点到平面距离,就是所求的最小值,压轴填空题第14题,考查正切函数的定义,二次函数的最小值。