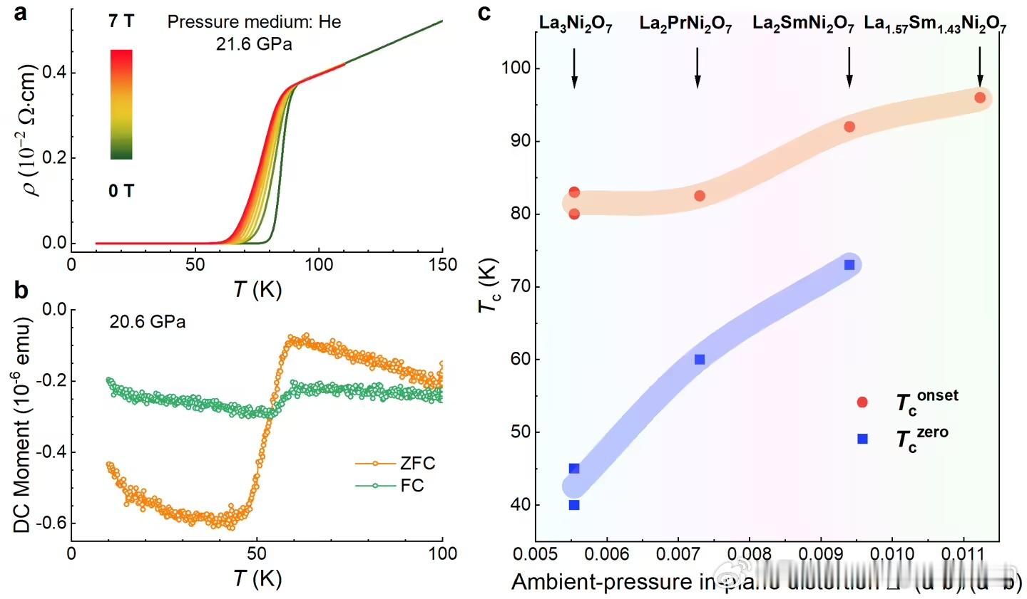
我国科学家创造镍基超导体转变温度新纪录 北京高压科学研究中心曾桥石团队联合山东大学张俊杰团队,在双层镍酸盐体系中取得了重要进展:在高质量的 La₂SmNi₂O7-d 单晶中,通过高压诱导实现了高达 96 K 的体超导转变,创造了迄今镍基超导体的最高转变温度的纪录。相关成果今日已发表在《自然》上。该材料在高压环境下实现 96K(-177.15℃)超导转变温度,刷新镍酸盐体系超导温度纪录,成为继铜基、铁基之后的第三类非常规高温超导体。研究团队创新采用“常压熔剂法”制备技术,通过优化化学成分设计产生“化学压力”,成功获得高纯度、低缺陷的镍酸盐单晶样品。针对微米级样品的高压测量难题,团队自主开发等静水压电阻与磁测量技术,在维持晶体结构完整性的前提下,同步验证了零电阻与完全抗磁性两大超导特征。该成果将镍基超导温度首次提升至液氮温区(77K)以上,为探索更高温超导体奠定基础。曾桥石研究员表示:“此次突破使‘百 K 超导’目标更近一步,推动常温超导应用从理论迈向现实。”研究成果以《Bulk superconductivity up to 96 K in pressurized nickelate single crystals》为题发表于 Nature(网页链接

